如何从0到1设计产品积分体系?

1、前言

产品的积分体系,大家已经并不陌生。几乎现在市面上所有主流的产品都有自己的积分体系。比较常见的,像银行的储蓄卡积分、信用卡积分,各种购物网站的会员积分。产品积分的作用,也是显而易见的,可以帮助商家留存客户,增加客户粘性,还可以帮助商家借助于用户积分,进行用户分析,从而更好地制定产品策略,提升产品的客户服务水平。现实中的积分体系总体而言有三类。第一类是价值类的积分,简而言之就是积分可以当钱花,例如银行的信用卡积分,可以兑换礼品,消费抵现。第二类是身份类积分,达到某个等级的积分,有不同等级的称谓,例如QQ游戏里的牌类游戏《斗地主》,将不同等级的分数会转为“短工”、“长工”、“佃户”等这类的名称,以证明玩家的水平。第三类是权益类的积分,达到某个等级,可以享受某些服务,或者可以享受到打折或是满减的权益。例如京东的“京享值”,是动态变化的,达到不同等级的分类,享受不同的权益,有“运费单免”、“会员立减”、“闪电退款”、“以换代修”等权益。由此可见积分体系在产品中的重要性。而实际工作中,不同产品有不同产品的特色,这也就导致积分体系设计具有针对性,直接照搬其他产品的积分体系只能看到表面现象,往往又不能解决本质问题,尤其对于价值类的积分,还涉及财务预算、成本分析、市场营销和运营多方面的知识,需要产品经理掌握多方面的知识,并且有极强的专业背景和较丰富的知识储备,设计难度较大。如何更好地设计产品积分体系,是众多产品经理在实际工作中进行产品精细化设计时所面临的问题。

2、设计产品积分体系的难点

构建产品特有的积分体系,是目前所有ToC产品中,非常重要且必定要做的一项工作。如果没有认真规划,设计出来的产品积分体系将会是一个很“鸡肋”的功能,不能给产品带来效益,反而对产品的发展造成负面影响。这就考验产品经理“做正确的事且把事情做正确”的能力。正是因为积分体系现在太普遍了,很多人觉得设计一个积分体系有什么难的,往往没有给予重视。简单地上线,没有深入思考,结果发现上线后才发现各种细节的问题。结合实际的工作,设计产品积分体系有以下几大难点。

(1)积分体系定位难

很多时候,产品经理都是在执行上级领导的指示。上级领导一拍脑袋,别家产品有积分体系,我们也弄一个,就同他们产品的积分体系一样的。领导说出这句话,可能他也没有仔细研究竞品,只是一个想法,至于细节上做成什么样,其实领导也不是很清楚,这个积分体系的定位是什么?领导也没明确。往往领导说什么是什么,就导致产品需求会一直变,到底积分是定位价值用来抵现?还是仅是一个跟据不同积分给用户不同的称谓而已?定位不明确,导致产品设计出,发现和产品场景并不兼容。也没法和运营部门同事的运营策略进行衔接。如果是价值类的积分,又涉及到现金抵扣,还需要财务部门的同事配合,符合公司财务流程,要不然这钱从哪出不知道 ,钱是抵扣了,这抵扣的钱从哪里补也没有明确,财务账不平,财务的同事很难做。最后积分体系是做出来了,但是无法使用。

(2)积分成本测算难

对于价值类的积分,积分可以直接抵现或是换购商品,就需要对积分的成本进行测算,多少积分折合多少钱,需要从多个维度出发进行计算。每年产品的销售额也不是一成不变,每年要花多少营销费用在积分上,产品的利润同积分之间也有一定的关联关系 ,如果积分发的太多,或是等值的金额太大,就会影响到产品最终的收益,这个积分的存在,是增加了多少产品收入还是增加了多少产品费用支出 ,到底划不划算?这也都是需要动态测算的。最终就是要确定,积分的成本是多少?产生的价值是多少?历史成本 、未来成本,都是在积分体系设计时需要考虑的。如何准确地对积分成本进行测算,需要结合多个产品相关信息系统的数据,是积分体系设计的一个难点。

(3)积分体系规划难

积分体系看似只是公司产品体系中的一个小功能,其实远不止如此,能把积分体系做好,写一篇博士论文完全没有问题,甚至可以成立一家以积分体系为核心功能的公司,为其他产品提供服务。积分体系的规划,要符合公司的战略目标,要符合产品的定位与长远规划。积分的获得,用户在使用产品时,有多个场景会涉及到积分,例如银行的信用卡积分,除了刷卡这个场景获得积分外,用户在银行信用卡的App内玩游戏、评论、分享以及拉新等都可以获得积分。积分的消费,还需要提供积分的兑换平台,还需要提供API(Application Programming Interface,应用程序接口)为其他平台提供服务,最常见的就是大家去星巴克,可以直接使用某些银行的积分在星巴克里兑换咖啡。而未来还会有哪些积分的玩法,其实大家也在摸索中,所以积分体系规划,要除了满足当前需求外,还要有一定的前瞻性。市场风格和消费者偏好一直是处于变化之中,未来的存在许多不确定性,因此积分体系规划比较难。

3、如何设计产品积分体系

设计产品积分体系所存在的这些难点会对产品积分体系的最终成功投产造成一定的影响。也就是产品经理在做产品设计前的风险识别。如何设计产品积分体系,就是通过一定的经验和方法论,减少风险对产品积分体系设计中造成的不利影响,尽量减少不必要的“挖坑”和“踩坑”。接下来将从几个方面来分析如何设计产品积分体系。

(1)明确积分体系的定位

决定要搭建积分体系,很多时候是领导脑海里闪现的一个想法,但很多细节领导是没想清楚的。这时候的产品经理就体现出价值了,产品经理所要做的就是将领导的想法细化,通过自己的研究和经验,来帮领导进行梳理,引导领导明确积分体系的定位。在2018年,招商银行推出了“统一积分计划”,将原招商银行信用卡积分和招商银行一网通积分进行合并,统一归集至招行的积分体系。招行的这个积分体系的定位和目标就很明确,目标是在招行新的积分体系下,实现用户积分的统一查询、统一兑换、统一管理。结合招行银行提升MAU(Monthly Active User,月活跌用户数)的北极星指标,通过积分将用户行为相结合,很快提升了招行整个产品的口碑。所以,产品经理在设计积分体系时,一定要明确其定位和要实现的目标,并向领导反馈,看是否满足公司战略要求和产品发展规划。

(2)做好积分成本测算

不论哪种类型的积分体系,都是要进行积分体系测算的。很多人直观认为,身份标识类的积分体系,不会将积分转化为金额或是权益,看似不用进行积分成本测算,实际上也是需要的。这种类型的积分体系,更多的是考虑研发成本和运营成本。例如:我开发这个积分体系投入多少人力和资源,产出的用户活跃或是增加的新用户是多少,有多少人原意为了提升等级进行付费?像QQ游戏,购买一定的游戏道具,可以快速提升积分,从而提升称谓级别。这就是带来的收益。一般而言,积分的使用成本可以归属于营销预算中,除了将研发和运营成本进行预算分摊外,还要计算积分的使用价值。也就是一个积分等值于多少钱。如果是权益类的,比如满我少积分免运费,这个积分的成本就是运费的支出。可以简单用下表直观看一下。

上图中,我们假设随着产品用户的增多,发放的积分也以一定的规律增加,当然实际中这个增加的幅度是会进行调整的。这样,我们可以动态看出每年的积分成本也是在变化中。所以,在进行积分体系规划时,要考虑积分权益比率的配置功能,以及兑换产品所需积分的动态联动功能。同时,也要考虑积分池的总量,以及用户获得积分的数量控制,避免用户获得的积分过多,导致成本失控。

(3)定义用户行为的积分规则

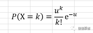
用户在使用产品过程中会有多种行为。为用户的所有行为定义等值的积分肯定是不合理的。用户的不同行为,肯定会体现用户的不同价值,为了更好地激励客户,就要合理制定用户行为所获得的积分规则。以资讯类产品为例,我们希望的是通过用户的“点赞”,“分享”,“评论”等操作,提升资讯类产品的浏览量和传播数,我们对于“评论”这个用户行为该定义多少的积分奖励呢?一般而言,我们会跟据当年的用户行为数据,来制定明年的积分规则。理论而言,用户的“评论”行为可以看作是离散概率分布。假设我们根据数据预测,明年咨询类产品将会发布咨讯100条,我们预算的用户“点赞”行为的总积分池是10000分,那每赞一次获得多少积分比较合适?我们根据以下公式测算:

我们根据当年用户数据,平均一篇资讯有20名用户发表“评论”,我们根据公式得出,在来年有43位用户发表评论的概率能达到100%,为了方便计算,我们就认为来看每篇会有40个用户的“评论”行为。所以,测算出用户“评论”这一行为的单次获得积分数为:10000/100/40=2.5积分。

 另外,我们可以制定行为与积分规则矩阵,同样是以资讯产品为例,来对用户积分和行为的对应规则进行测算:

如果我们的目标是想通过积分,获得发布文章的用户,那么我们就要将发布文章作为核心行为,我们发现,当发布文章为100积分时,核心行为积分占比只有57%,不能同一般用户进行显著区分,因此,我们最终将发布文章积分提高至200,目标用户的核心行为积分占比达到73%,相对比较合理。

(4)制定积分核销方案

有了积分,接下来就要规划积分的核销。对于积分而言,不能永久新增下去,这样不利于成本控制,而且积分的时效性有助于增加用户的活动,给用户一种紧迫感。目前也是商家常用的用户激励策略,积分快到期前,总会收到商家的短信或是邮件提醒。积分不能无限制地增加下去,最好也不要长期有效。因此,积分体系的设计要考虑积分核销方案的制定。制定积分核销方案,可以从两个方面着手。一方面是用户主动核销积分,例如用户在积分商城进行积分商品兑换,积分商品可以是实物商品也可以是虚拟商品,主要是通过用户操作积分,提升用户产品使用率,增加用户产品使用粘性。同时,主动核销积分还可以为用户提供抽奖服务,促使用户核销积分。另一方面是被动核销积分,可以按固定时间维度,例如以年为单位,进行积分清零,或者是以相对时间,也就是积分有一定的有效期,可以是积分获得后,1个月清零,或是半年后清零,可以根据实际情况进行调整。

(5)设计积分运营监控功能

产品积分体系,需要运营监控进行支撑,否则无法实时知道积分使用情况,例如积分的发放与兑换情况,积分池的存量,积分兑换率,用户使用量等,也无法即时对积分策略和积分定价进行调整。对于积分商城,积分商品的价格也要随积分价值的变化而变化。同时地还要设定一定的溢价率。常见的积分商品定价,可以参照如下公式:商品积分价格=(进货成本+商品其他成本)×积分兑人民币比值×溢价参数在设计积分体系时,要求积分的运营监控功能纳入到设计方案,选定监控指标,例如监控用户哪个行为获得的积分最多,这样可以评判积分策略是否合理,用户获得积分是太容易还是太难,太难的话,用户会失去兴趣,也失去了积分的意义,太简单的话,也不利于体现积分价值。从积分的发放到最终的使用,形成转化漏斗,可以更好是观测积分使用效果。

4、结语

其实积分体系的建立,是一个很大的工程,除了本身的核心模块外,还有外围的配置管理、运营监控以及产品积分商城多个功能模块。对于积分体系的设计,我个人认为最重要的一点是要明确定位和目标,做这个积分商城到底是为了什么?产品经理在设计积分体系时,要多问几个为什么。自己是否能说服自己。并对积分体系的可行性进行分析,包括经济可行性、技术可行性和外围条件可行性。例如:

(1)最终这个积分体系的落地,需要投入多少钱,领导决定做这个事情,只是为了简单做个样子,还是要切实带来效益?

(2)技术团队是否有这个实力完成这项工作,是否有足够的人力来做这件事情,需不需要招人?

(3)外围件件是否成熟?有没有自己的电商平台,需不需要进行电商平台的采购,从而来支持积分的兑换?

要考虑的问题很多。

在有了定位和目标后,明确需求范围,制定产品积分体系的Roadmap,自顶向下进行积分体系的规划,利用KANO模型来对积分体系的需求分类以及需求优先级进行排序。对于涉及到的积分体系细节,进行数学建模,从而可以对积分体系进行量化说明。结合积分体系定位的客群,最终将设计好的积分体系进行落地。

当然,实际工作中业务场景不同,定位不同,目标不同,积分体系的风格也有所不同。本文也旨在抛砖引玉,总体流程已经经过实际工作中的检验,比较接地气。希望能对大家有所帮助。也欢迎大家交流。